员工动态

首页 -- 员工动态 -- 正文

学术成果:运动锻炼有助于保持老年人大脑白质完整性
发布时间:2023-12-22        阅读量:

 

成果简介:

近日,老年医学领域顶级期刊GeroScience(中科院大类1区top,American Aging Association官方杂志)在线发表了陈安涛团队题为A Systematic Review and Meta-Analysis of the Effects of Physical Exercise on White Matter Integrity and Cognitive Function in Older Adults的研究论文。该文通过系统性回顾和荟萃分析方法,总结了运动锻炼对老年人大脑白质完整性和认知功能的影响,为理解运动锻炼在老年人大脑健康维护中的作用提供了科学依据。

研究亮点:通过系统综述和荟萃分析方法,在老年人群体中探究了运动锻炼对白质完整性和认知功能的影响及其关键驱动因素,为优化老年人健康干预提供了新视角。首次系统性地综合分析了运动锻炼对老年人白质完整性和认知功能的影响;探讨了不同类型、频率和强度的运动锻炼对老年人认知健康的具体影响及其差异,通过多角度的探索有助于理解其对老年人大脑的复杂作用;为老年人健康管理,尤其是大脑认知功能改善提供了实证基础;有助于制定适用于老年群体的个性化、针对性的运动处方。

研究主要内容

鉴于老年人口的不断增长以及对防治认知障碍和神经退行性疾病的迫切需求,维持老年人的大脑健康和认知功能已成为相关领域的热点问题。作为一种潜在的非药物干预方法,运动锻炼对改善老年人的认知功能和维持大脑健康方面的潜在效果开始受到关注,这种关注源于运动锻炼在增强心脑血管健康、改善神经可塑性和促进认知储备方面的潜在益处。然而,关于运动锻炼干预措施对老年群体的具体效果,现有的研究成果并不一致。为了解决这一问题,本研究采用系统性综述和荟萃分析方法,全面评估运动锻炼对老年人大脑白质完整性和认知功能的影响。系统综述包括对相关研究文献的广泛搜索和严格评估,以确保研究的全面性。荟萃分析则通过统计合并不同研究的数据,量化结果的一致性和差异性。

本文遵循了“系统评价和荟萃分析报告优选条目的方法指南”(Preferred Reporting Items for Systematic Reviews and Meta-Analyses, PRISMA),从PubMed、Embase、Web of Science等数据库中进行了广泛的文献搜索。采用基于循证医学的“患者、干预、对照、结果和研究设计”(Population, Intervention, Comparison, Outcomes, and Study Design, PICOS)框架作为纳入研究的选择标准,从1885篇文献中筛选出相关的随机对照试验(Randomized Controlled Trials, RCTs)(图1)。排除了非临床试验、无法获取全文、重复发表和质量低下的研究。使用EndNote软件和标准化数据提取表格确保了数据提取的准确性和一致性。

图1.PRISMA流程图

此外,应用Cochrane 2011工具对纳入研究的偏差风险进行了评估,这一工具专门用于评价随机对照试验的质量,包括随机序列生成、分配隐藏、结果评估的盲法等方面(图2)。在数据分析阶段,本研究利用Stata 15.0软件进行了荟萃分析,并通过森林图和漏斗图进行了视觉分析。所涵盖的统计分析结果包括分数各向异性(Fractional Anisotropy, FA)、径向扩散(Radial Diffusivity, RD)、平均扩散(Mean Diffusivity, MD)、白质体积(White Matter Volume, WMV)、海马体积(Hippocampal Volume, HV)、执行功能(Executive Function)、记忆(Memory)和加工速度(Processing Speed)等多项关键指标。

图2. 偏差风险评估图。A,偏差风险比例图;B,偏差风险评估示意图。

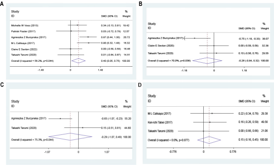
按照严格的纳入标准,本文综合分析了9项高质量的随机对照试验研究,涉及581名老年参与者。研究发现运动锻炼在提升白质完整性,尤其是各向异性分数(FA)方面具有显著效果;然而,对其他认知功能指标如平均扩散率、白质体积、记忆和处理速度等未观察到显著改变(图3)。此外,研究还详细分析了不同锻炼类型、频率、强度和干预时长的具体影响。这些发现突显了运动锻炼对老年人大脑白质完整性的显著改善效果及其在维护认知健康方面的潜在作用,同时也表明运动锻炼与老年人大脑结构和功能健康之间存在复杂的相互影响。这对于制定针对老年人的有效锻炼计划和健康干预措施具有指导意义。未来研究应更深入探索不同类型和强度锻炼对特定认知功能的影响,以及如何将这些成果应用于实践,为老年人提供个性化的健康管理方案,并关注长期锻炼对大脑健康的持久效应。

图3.荟萃分析结果。A,锻炼干预对老年人白质中分数各向异性(Fractional Anisotropy, FA)影响的荟萃分析结果;B,锻炼干预对老年人白质中径向扩散(Radial Diffusion, RD)影响的荟萃分析结果;C,锻炼干预对老年人白质中平均扩散(Mean Diffusion, MD)影响的荟萃分析结果;D,锻炼干预对老年人白质体积(White Matter Volume, WMV)影响的荟萃分析结果。此外,文章还讨论了锻炼对老年人海马体积、执行功能、记忆及处理速度的影响在内的荟萃分析结果。注:权重来自随机效应分析。

总结:

该文系统性地探讨了运动锻炼对老年人大脑健康的影响,重点关注其在提升白质完整性方面的作用,说明运动锻炼与大脑健康间存在复杂的相互影响。文章提出未来研究应更深入探索其相互作用,以优化干预方案。这项工作为老年人大脑健康的研究及相关干预措施的发展提供了有价值的科学依据。

本研究得到国家自然科学基金项目(32171040,32371105)的资助。

论文信息:

Zhang, W; Zhou, C; Chen, A. (2023). A systematic review and meta-analysis of the effects of physical exercise on white matter integrity and cognitive function in older adults.GeroScience. https://doi.org/10.1007/s11357-023-01033-8.

3044AM永利

Copyright © 3044永利集团(中国)有限公司 版权所有   沪ICP备05052054号