科研成果

首页 -- 科学研究 -- 科研成果 -- 正文

王小春教授课题组在Rhinology发表研究成果2
发布时间:2021-10-13        阅读量:

不同运动类型在延缓老年人嗅觉衰退中的作用

为了探究长期运动及运动类型对老年嗅觉的影响,王小春教授团队募集了99名身心健康的普通老年人(51-75周岁),所有被试都没有做过鼻子手术,且无鼻腔方面的疾病。

通过《上海市社区中老年健康与锻炼现状调查表》采集被试的基本信息(如年龄、性别、身高、体重等)和运动信息(运动类型、运动频率);通过《中文版简易智能精神状态量表》采集被试认知方面的得分;通过Sniffin’ Sticks嗅觉检测工具采集被试的嗅觉鉴别能力和嗅觉阈值得分。

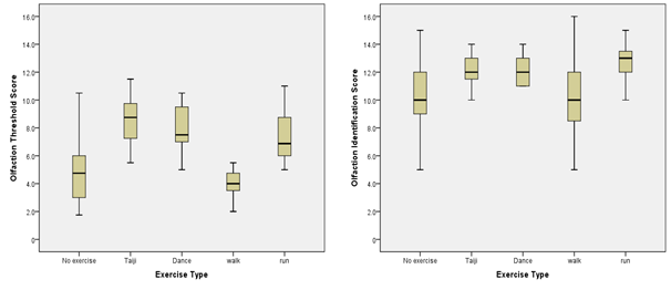
数据分析后发现,运动组气味鉴别得分(M±SD:11.96±1.96)显著高于非运动组(M±SD:9.90±2.87)(F=6.62, df=97, p <0.001)。嗅觉阈值在两组之间也有显着差异,运动组的气味阈值(M±SD:7.20±2.21)低于非运动组(M±SD:4.91±2.28)(F=0.14, df=97,p <0.001)(得分越高,阈值越低)

进一步采用 事后检验, 该团队 发现不同运动类型间的嗅觉鉴别和嗅觉阈值有显著的 差异,具体表现为太极,舞蹈和跑步组的气味阈值分数和嗅觉鉴别分数显著高于步行和非运动组,这意味着与步行和非运动组相比,太极、舞蹈和跑步组的参与者具有较低的气味阈值和更好的嗅觉鉴别能力(图1)。

 

1 不同运动类型的嗅觉得分对比

该研究结果已发表在国际知名学术期刊Rhinology上,上海体育公司3044AM永利博士生张陈平为第一作者,王小春教授为通讯作者。

论文信息:

  Chenping Zhang, Danyang Li, Xiaochun Wang*, 2020. Role of physical exercise type in olfactory deterioration in ageing. Rhinology, 58(2): 145-151. Doi: 10.4193/Rhin19.274.

3044AM永利

Copyright © 3044永利集团(中国)有限公司 版权所有   沪ICP备05052054号